What you need to know about the 3 XProtects: classic, Remediator and BehaviourService, and full details of what we know about XPR 122.
Month: December 2023
This is the second in my series of articles looking at paintings believed to have been created a […]
If you use macOS VMs on an Apple silicon Mac, folders shared with the host may vanish in 14.2 and later. Here’s why, which are affected, and how to work around the problem.
Passes of St Gothard, Chalus in N Iran, the Pyrenees, the Vikos Gorge, the Daryal Gorge in the Caucasus, the Simplon and others.
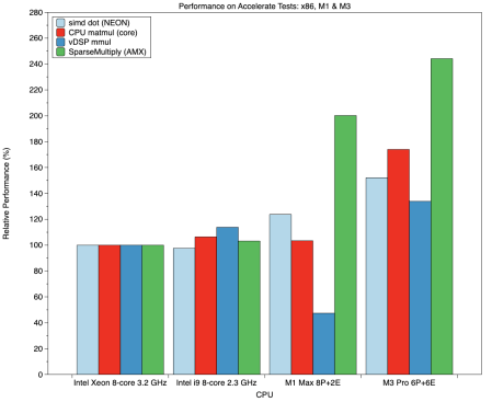
Comparison between 2 Intel and 2 Apple silicon Macs running vector and matrix functions from Apple’s Accelerate library. Was that new M3 worth the money?
More examples drawn from “Midsummer Night’s Dream”, and from “The Tempest”, that were exhibited at the Royal Academy and elsewhere.
If you run macOS virtual machines (VMs) on Apple silicon Macs using lightweight virtualisation, you may wish to […]
It turns out that the Finder is just retaining all those image thumbnails in its memory for 2-3 days after you last browsed them. Is this what we want?
Apple has just released an update to XProtect Remediator security software (Catalina or later), bringing it to version […]
Apple has just released an update to macOS Sonoma, bringing it to version 14.2.1. On Intel Macs, the […]
