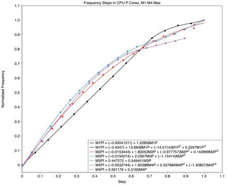
Provides maximum frequencies for E and P cores in each of the M-series, a table of all frequency steps used by current M-series chips, and explanation of how they have come about and their importance.
Month: January 2025
Paintings by Maurice Prendergast, Childe Hassam, Camille Pissarro, Pierre Bonnard, and others of these popular gardens in the centre of Paris.
It took over 6 months before creating bootable external disks was fairly reliable, and even then there were unexplained failures. Did someone fail to tell us something?
Paintings by Watteau, Manet, Adolph Menzel, Claude Monet and others of these popular gardens in the centre of Paris.
Here are this weekend’s Mac riddles to entertain you through family time, shopping and recreation. This week they […]
Based on a cut-down browser, Help Viewer, Apple Help in Mac OS X has had its ups and downs, and several internal revisions, the latest of which is the Tips app in Sequoia.
By the end of the 19th century, 80% of those in Europe lived in towns and cities, drawn there by the promise of material riches that were not available to them in the country. This new series explores what they faced.
In any M-series family, I’ve always assumed that P and E cores were the same, whether it’s a base or Ultra variant. That isn’t correct, though.
A grand castle kitchen, the element fire, Vermeer’s milkmaid, a witch’s kitchen for Faust, a rotund cardinal tasting the sauce, and in a humble apartment in London.
Low Power mode operates pre-emptive control of CPU core frequency to deliver the best compromise between low power use and performance. Here’s how it does so.
